1. Nilai Rata-rata / Rataan Hitung (Mean)
Perhitungan nilai rataan hitung akan menjadi lain jika guru tersebut mencatat hasil ulangan 40 orang siswanya sebagai berikut:
Nilai rataan hitung (rata-rata) ujian matematika dari 38 orang siswa adalah 51. Jika nilai dari seorang siswa lain yang bernama Rahman digabungkan dengan kelompok itu maka nilai rataan hitung ujian matematika dari 39 orang siswa sekarang menjadi 52. Tentukanlah nilai yang diperoleh Rahman.
Nilai rataan hitung 38 siswa adalah 51. Nilai rataan hitung 39 siswa adalah 52.
Ditanyakan:
Nilai ujian matematika yang diperoleh Rahman.
Pembahasan :
Misalkan,
Langkah pertama dalam menentukan rataan hitung dengan menggunakan rataan hitung sementara adalah menentukan rataan sementara dari nilai tengah salah satu kelas interval. Kemudian, semua nilai tengah pada setiap kelas interval dikurangi rataan hitung sementara tersebut.
Setiap hasil pengurangan tersebut disebut simpangan terhadap rataan hitung sementara itu (di). Adapun rumus untuk mencari rataan hitung sementara adalah sebagai berikut.
6,07 – 1 = 5,07.
Jadi, jumlah yang lulus adalah :
= 17 + 14 + 6 + 3 = 40 orang.
Tentukanlah rataan hitung dengan menggunakan rataan hitung sementara.
Jawaban :
Lengkapilah Tabel 1. dengan langkah-langkah sebagai berikut.
1. Tentukan nilai tengah dari setiap kelas seperti berikut.
Misalnya, kita pilih rataan sementara adalah nilai tengah ke-6. Jadi, xs = (65 + 69) / 2 = 67 .
a. Modus (Mo)
Seorang guru ingin mengetahui nilai manakah yang paling banyak diperoleh siswanya dari data hasil ulangan matematika. Tentunya, ia akan menentukan datum yang paling sering muncul. Misalnya, data hasil ulangan 10 orang siswa sebagai berikut :
7 4 6 5 7 8 5,5 7 6 7
Data yang paling sering muncul disebut modus. Modus dari data itu adalah 7 sebab nilai yang paling sering muncul adalah 7. Modus mungkin tidak ada atau jika ada modus tidak tunggal (lihat Contoh 10).
Jika data yang diperoleh berukuran besar, data perlu dikelompokkan agar penentuan modus mudah dilakukan. Modus dari data yang dikelompokkan dapat dicari dengan menggunakan rumus berikut.
Telah Anda ketahui modus adalah datum yang paling sering muncul. Prinsip ini digunakan untuk menentukan kelas modus pada data yang dikelompokkan. Kelas modus adalah kelas yang frekuensinya paling banyak.
a. 45, 50, 50, 64, 69, 70, 70, 70, 75, 80
i = 44,5 – 39,5 = 5
Dari data kuantitatif yang tidak dikelompokkan dan dinyatakan oleh x1, x2, …, xn, (dengan x1 < x2 < … < xn) untuk n yang berukuran besar (yang dimaksud n berukuran besar yaitu n ≥ 30) maka nilai ketiga kuartil, yaitu Q1 (kuartil bawah), Q2 (median), dan Q3 (kuartil atas) ditentukan dengan rumus berikut.
Untuk data yang dikelompokkan, nilai median (Me) dan kuartil (Q) ditentukan dengan rumus sebagai berikut.
Kunci Jawaban :
Untuk data sebanyak n dengan n ≥ 10, Anda dapat membagi data tersebut menjadi 10 kelompok yang memuat data sama banyak. Ukuran statistik yang membagi data (setelah diurutkan dari terkecil) menjadi 10 kelompok sama banyak disebut desil. Sebelum data dibagi oleh desil, data harus diurutkan dari yang terkecil.
Oleh karena data dibagi menjadi 10 kelompok sama banyak maka didapat 9 desil. Amati pembagian berikut.
Jawaban :
Data setelah diurutkan menjadi 33, 35, 36, 37, 39, 39, 40, 41, 42, 43, 45, 46, 47.
Jawab:
Diketahui i = 3 maka (i x n)/10 = (3 x 40)/10 = 12.
Masih ingatkah Anda cara menghitung rataan hitung? Misalnya, seorang guru mencatat hasil ulangan 10 orang siswanya, sebagai berikut.
6 5 5 7 7,5 8 6,5 5,5 6 9
Dari data tersebut, ia dapat menentukan nilai rataan hitung, yaitu :

Jadi, nilai rataan hitungnya adalah 6,55.
Secara umum, apabila nilai data kuantitatif tidak dikelompokkan dan dinyatakan oleh x1, x2, …, xn (terdapat n buah datum), nilai rataan hitung (mean) x ditentukan oleh rumus berikut.
Perhitungan nilai rataan hitung akan menjadi lain jika guru tersebut mencatat hasil ulangan 40 orang siswanya sebagai berikut:
3 orang mendapat nilai 4
4 orang mendapat nilai 5
6 orang mendapat nilai 5,5
8 orang mendapat nilai 6
7 orang mendapat nilai 7
10 orang mendapat nilai 8
2 orang mendapat nilai 9
Nilai rataan hitung siswa dapat dicari sebagai berikut:
Jadi, nilai rataan hitungnya adalah 6,5.
Secara umum, apabila nilai-nilai data kuantitatif dinyatakan dengan x1, x2, …, xn (terdapat n buah datum) dengan setiap nilai datum mempunyai frekuensi f1, f2, …, fn maka rataan hitung ( x ) ditentukan oleh rumus berikut.
Contoh Soal 1 :
Seorang peneliti mencatat banyak bayi yang lahir selama setahun di 20 kecamatan. Hasil pencatatannya disajikan berikut.
136 140 220193 130 158 242 127 184 213
200 131 111 160 217 281 242 242 281 192
a. Hitunglah rataan hitung (mean) data tersebut.
b. Tentukan jangkauan datanya.
c. Tentukanlah jangkauan antarkuartil.
Penyelesaian :
Untuk menyelesaikan soal ini, dapat digunakan dua cara, yaitu tanpa menggunakan kalkulator dan dengan menggunakan kalkulator.
• Tanpa kalkulator (dengan rumus):
• Dengan kalkulator (fx–3600 Pv), tahapan perhitungan sebagai berikut:
1) | kalkulator "ON" | ||
2) | |||
3) | masukkan data | ||
136 | data | ||
140 | data | ||
… | |||
… | |||
… | |||
192 | data | ||
4) | tekan tombol | ||
190 | |||
Untuk kalkulator jenis lainnya, coba Anda cari informasi cara menghitung mean dengan kalkulator tersebut.
b. Jangkauan datanya adalah: J = xn – x1 = 281 – 111 = 170.
c. Setelah data diurutkan, diperoleh Q1 = 138 dan Q3 = 231.
Jangkauan antarkuartil adalah JK= Q3 – Q1 = 93.
Contoh Soal 2 :
Nilai rataan hitung (rata-rata) ujian matematika dari 38 orang siswa adalah 51. Jika nilai dari seorang siswa lain yang bernama Rahman digabungkan dengan kelompok itu maka nilai rataan hitung ujian matematika dari 39 orang siswa sekarang menjadi 52. Tentukanlah nilai yang diperoleh Rahman.
Diketahui:
Nilai rataan hitung 38 siswa adalah 51. Nilai rataan hitung 39 siswa adalah 52.
Ditanyakan:
Nilai ujian matematika yang diperoleh Rahman.
Pembahasan :
Misalkan,
xi = nilai ujian matematika dari siswa ke-i dengan i = 1, 2, ..., 38
x39 = nilai ujian matematika yang diperoleh Rahman
Jadi, nilai ujian matematika yang diperoleh Rahman adalah 90.
Contoh Soal 3 :
Jika 30 siswa kelas XI A1 mempunyai nilai rata-rata 6,5; 25 siswa kelas XI A2 mempunyai nilai rata-rata 7; dan 20 siswa kelas XI A3 mempunyai nilai rata-rata 8, tentukan rata-rata nilai tujuh puluh lima siswa kelas XI tersebut.
Jawaban :
Jawaban :
2. Menghitung Rataan Hitung dengan Menggunakan Rataan Hitung Sementara
Selain menggunakan rumus subbab1, rataan hitung dapat pula ditentukan dengan menggunakan rataan hitung sementara (xs). Untuk kumpulan data berukuran besar, biasanya rataan hitung ditentukan dengan menggunakan rataan hitung sementara sebab apabila dihitung dengan rumus di Subbab 1, perhitungannya akan rumit.
Selain menggunakan rumus subbab1, rataan hitung dapat pula ditentukan dengan menggunakan rataan hitung sementara (xs). Untuk kumpulan data berukuran besar, biasanya rataan hitung ditentukan dengan menggunakan rataan hitung sementara sebab apabila dihitung dengan rumus di Subbab 1, perhitungannya akan rumit.
Langkah pertama dalam menentukan rataan hitung dengan menggunakan rataan hitung sementara adalah menentukan rataan sementara dari nilai tengah salah satu kelas interval. Kemudian, semua nilai tengah pada setiap kelas interval dikurangi rataan hitung sementara tersebut.
Setiap hasil pengurangan tersebut disebut simpangan terhadap rataan hitung sementara itu (di). Adapun rumus untuk mencari rataan hitung sementara adalah sebagai berikut.
Dalam hal ini,
fi = frekuensi kelas ke-i
fi = frekuensi kelas ke-i
xs = rataan hitung sementara
di = simpangan dari titik tengah kelas ke-i dengan rataan hitung sementara.
Contoh Soal 4 : (Soal Sipenmaru 1985)
Perhatikan data berikut.
nilai ujian | 3 | 4 | 5 | 6 | 7 | 8 | 9 |
frekuensi | 3 | 5 | 12 | 17 | 14 | 6 | 3 |
Seorang siswa dinyatakan lulus jika nilai ujiannya lebih tinggi dari nilai rata-rata dikurangi 1. Dari data di atas, yang lulus adalah :
Siswa dinyatakan lulus jika nilainya lebih dari :
6,07 – 1 = 5,07.
Jadi, jumlah yang lulus adalah :
= 17 + 14 + 6 + 3 = 40 orang.
Contoh Soal 5 :
Tabel 1. menunjukkan hasil ulangan Fisika dari 71 siswa Kelas XI SMA Merdeka.
Interval Kelas | Frekuensi |
40 – 44 | 3 |
45 – 49 | 4 |
50 – 54 | 6 |
55 – 59 | 8 |
60 – 64 | 10 |
65 – 69 | 11 |
70 – 74 | 15 |
75 – 79 | 6 |
80 – 84 | 4 |
85 – 89 | 2 |
90 – 94 | 2 |
Tentukanlah rataan hitung dengan menggunakan rataan hitung sementara.
Jawaban :
Lengkapilah Tabel 1. dengan langkah-langkah sebagai berikut.
1. Tentukan nilai tengah dari setiap kelas seperti berikut.
(batas bawah kelas + batas atas kelas) / 2
2. Pilih nilai tengah dari suatu kelas sebagai rataan sementara.
Misalnya, kita pilih rataan sementara adalah nilai tengah ke-6. Jadi, xs = (65 + 69) / 2 = 67 .
Hasilnya tampak pada tabel 2. berikut.
Kelas Interval | fi | Nilai Tengah (xi) | di | fi di |
40–44 | 3 | 42 | –75 | –25 |
45–49 | 4 | 47 | –20 | –80 |
50–54 | 6 | 52 | –15 | –90 |
55–59 | 8 | 57 | –10 | –80 |
60–64 | 10 | 62 | –5 | –50 |
65–69 | 11 | 67 | 0 | 0 |
70–74 | 15 | 72 | 5 | 75 |
75–79 | 6 | 77 | 10 | 60 |
80–84 | 4 | 82 | 15 | 60 |
85–89 | 2 | 87 | 20 | 40 |
90–94 | 2 | 92 | 25 | 50 |
Σf = 71 | Σ fi di = –90 |
4. Tentukan hasil kali fi di danΣ fi di .
3. Modus, Median, Kuartil, dan Desil
a. Modus (Mo)
Seorang guru ingin mengetahui nilai manakah yang paling banyak diperoleh siswanya dari data hasil ulangan matematika. Tentunya, ia akan menentukan datum yang paling sering muncul. Misalnya, data hasil ulangan 10 orang siswa sebagai berikut :
7 4 6 5 7 8 5,5 7 6 7
Data yang paling sering muncul disebut modus. Modus dari data itu adalah 7 sebab nilai yang paling sering muncul adalah 7. Modus mungkin tidak ada atau jika ada modus tidak tunggal (lihat Contoh 10).
Jika data yang diperoleh berukuran besar, data perlu dikelompokkan agar penentuan modus mudah dilakukan. Modus dari data yang dikelompokkan dapat dicari dengan menggunakan rumus berikut.
dengan,
L = batas bawah nyata (tepi bawah) dari kelas modus
L = batas bawah nyata (tepi bawah) dari kelas modus
d1 = selisih antara frekuensi dari kelas yang mengandung modus dan frekuensi dari kelas yang mendahuluinya (sebelumnya).
d2 = selisih antara frekuensi dari kelas yang mengandung modus dan frekuensi dari kelas berikutnya
i = interval kelas/panjang kelas.
Telah Anda ketahui modus adalah datum yang paling sering muncul. Prinsip ini digunakan untuk menentukan kelas modus pada data yang dikelompokkan. Kelas modus adalah kelas yang frekuensinya paling banyak.
Contoh Soal 6 :
Tentukan modus dari data berikut ini.
a. 45, 50, 50, 64, 69, 70, 70, 70, 75, 80
b. 50, 65, 65, 66, 68, 73, 73, 90
c. 35, 42, 48, 50, 52, 55, 60
Pembahasan :
a. Oleh karena nilai 70 muncul paling banyak (yaitu tiga kali muncul), modusnya adalah 70.
b. Oleh karena nilai 65 dan 73 muncul paling banyak (yaitu dua kali muncul), modusnya adalah 65 dan 73 (tidak tunggal).
c. Data 35, 42, 48, 50, 52, 55, 60 tidak mempunyai modus (mengapa?).
Contoh Soal 7 :
Tabel 3. menunjukkan hasil ulangan matematika dari 71 siswa Kelas XI SMA Bhinneka. Tentukan modus dari data tersebut.
Interval Kelas | Frekuensi |
40 – 44 | 2 |
45 – 49 | 2 |
50 – 54 | 6 |
55 – 59 | 8 |
60 – 64 | 10 |
65 – 69 | 11 |
75 – 79 | 6 |
80 – 84 | 4 |
85 – 89 | 4 |
90 – 94 | 3 |
Oleh karena kelas ke-7 mempunyai frekuensi terbesar (frekuensinya 15) maka kelas ke-7 merupakan kelas modus.
i = 44,5 – 39,5 = 5
L = Batas bawah nyata kelas ke-7 = 69,5 (tepi bawah kelas)
d1 = 15 – 11 = 4
d2 = 15 – 6 = 9
Cobalah tentukan nilai modus tersebut dengan menggunakan kalkulator. Apakah hasilnya sama?
b. Median dan Kuartil
Dari data kuantitatif yang tidak dikelompokkan dan dinyatakan oleh x1, x2, …, xn, (dengan x1 < x2 < … < xn) untuk n yang berukuran besar (yang dimaksud n berukuran besar yaitu n ≥ 30) maka nilai ketiga kuartil, yaitu Q1 (kuartil bawah), Q2 (median), dan Q3 (kuartil atas) ditentukan dengan rumus berikut.
Contoh Soal 8 :
Tentukan median, kuartil bawah, dan kuartil atas dari data berikut.
67 | 86 | 77 | 92 | 75 | 70 |
63 | 79 | 89 | 72 | 83 | 74 |
75 | 103 | 81 | 95 | 72 | 63 |
66 | 78 | 88 | 87 | 85 | 67 |
72 | 96 | 78 | 93 | 82 | 71 |
Urutkan data dari kecil ke besar hasilnya sebagai berikut.
No. Unit Data (xi) | 1 | 2 | 3 | 4 | 5 | 6 | 7 | 8 | 9 | 10 |
Nilai Data | 63 | 63 | 66 | 67 | 67 | 70 | 71 | 72 | 72 | 72 |
No. Unit Data (xi) | 11 | 12 | 13 | 14 | 15 | 16 | 17 | 18 | 19 | 20 |
Nilai Data | 74 | 75 | 75 | 77 | 78 | 78 | 79 | 81 | 82 | 83 |
No. Unit Data (xi) | 21 | 22 | 23 | 24 | 25 | 26 | 27 | 28 | 29 | 30 |
Nilai Data | 85 | 86 | 87 | 88 | 89 | 92 | 93 | 95 | 96 | 103 |
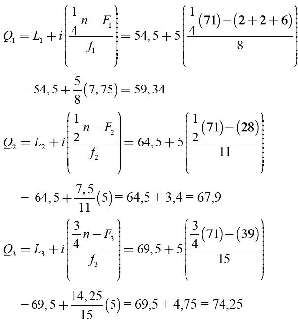
Untuk data yang dikelompokkan, nilai median (Me) dan kuartil (Q) ditentukan dengan rumus sebagai berikut.
dengan:
Li = batas bawah nyata dari kelas Qi
Li = batas bawah nyata dari kelas Qi
Fi = jumlah frekuensi kelas-kelas sebelum kelas kuartil ke-i
fi = frekuensi kelas kuartil ke-i
n = banyak data
i = panjang kelas/interval kelas
Ingatlah :
1. Q2= median
2. i pada Fi dan fi adalah sebagai indeks. i yang berdiri sendiri adalah sebagai panjang kelas.
Contoh Soal 9 :
Tentukan median, kuartil bawah, dan kuartil atas dari data pada Tabel. 4.
Interval Kelas | Frekuensi |
40 – 44 | 2 |
45 – 49 | 2 |
50 – 54 | 6 |
55 – 59 | 8 |
60 – 64 | 10 |
65 – 69 | 11 |
70 – 74 | 15 |
75 – 79 | 6 |
80 – 84 | 4 |
85 – 89 | 4 |
90 – 94 | 3 |
Kunci Jawaban :
Kelas Interval | Frekuensi | Frekuensi Kumulatif | |
40 – 44 | 2 | 2 | |
45 – 49 | 2 | 4 | |
50 – 54 | 6 | 10 | |
Q1 → | 55 – 59 | 8 | 18 |
60 – 64 | 10 | 28 | |
Q2 → | 65 – 69 | 11 | 39 |
Q3 → | 70 – 74 | 15 | 54 |
75 – 79 | 6 | 60 | |
80 – 84 | 4 | 64 | |
85 – 89 | 4 | 68 | |
90 – 94 | 3 | 71 |
Jadi, kelas Q3 ada di kelas ke-7 (kelas 70 – 74)
c. Desil
Untuk data sebanyak n dengan n ≥ 10, Anda dapat membagi data tersebut menjadi 10 kelompok yang memuat data sama banyak. Ukuran statistik yang membagi data (setelah diurutkan dari terkecil) menjadi 10 kelompok sama banyak disebut desil. Sebelum data dibagi oleh desil, data harus diurutkan dari yang terkecil.
Oleh karena data dibagi menjadi 10 kelompok sama banyak maka didapat 9 desil. Amati pembagian berikut.
Terdapat 9 buah desil, yaitu desil pertama (D1), desil kedua (D2), ..., desil kesembilan (D9).
Dalam hal ini i = 1, 2, 3, ..., 9 dan n = banyak data.
Contoh Soal 10 :
Tentukan desil ke-1 dan desil ke-5 dari data berikut. 47, 33, 41, 37, 46, 43, 39, 36, 35, 42, 40, 39, 45
Jawaban :
Data setelah diurutkan menjadi 33, 35, 36, 37, 39, 39, 40, 41, 42, 43, 45, 46, 47.
Jadi, desil ke -1 adalah 33,8 dan desil ke-5 adalah 40.
Ingatlah :
1 + 1 + 5 + 7 dapat dilihat pada kolom frekuensi kumulatif (kelas 45 – 49)
Untuk data yang disusun dalam daftar distribusi frekuensi, nilai desil ditentukan sebagai berikut.
Dalam hal ini.
i = 1, 2, 3, ..., 9
i = 1, 2, 3, ..., 9
(tb) Di = tepi bawah kelas Di
Fi = frekuensi kumulatif sebelum kelas Di
fi = frekuensi kelas Dip = panjang kelas
Contoh Soal 11 :
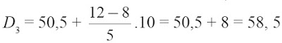
Tentukan nilai desil ketiga dari data pada Tabel 5.
Nilai | f i | Frekuensi Kumulatif |
31–40 | 5 | 5 |
41–50 | 3 | 8 |
51–60 | 5 | 13 |
61–70 | 6 | 19 |
71–80 | 9 | 28 |
81–90 | 8 | 36 |
91–100 | 4 | 40 |
Jawab:
Diketahui i = 3 maka (i x n)/10 = (3 x 40)/10 = 12.






















0 Response to "Statistik Matematika lengkap"
Post a Comment